N-Linked Glycosylation Analysis from FFPE Tissues
Mapping the two-dimensional distribution of N-glycans in tissues is possible using MALDI MSI. The method is capable of spatially profiling the location and distribution of multiple N-linked glycan species released by PNGase F PRIME™ in frozen or formalin-fixed tissues. This method can be applied to tissue or tumor microarrays to analyze changes in glycosylation in countless disease states.
Antibody Captured Glycoprotein N-Glycan Profiling
Antibody panel-based N-glycan imaging is a novel platform for N-glycan analysis of immunocaptured proteins. This platform consists of antibodies spotted in an array panel to a microscope slide, specific capture of glycoproteins from a biological sample, and then enzymatic release of N-glycans using PNGaseF PRIME™ for analysis by MALDI MSI. N-glycans are detected at each individual spot, allowing N-glycan information to easily be linked back to its protein carrier.
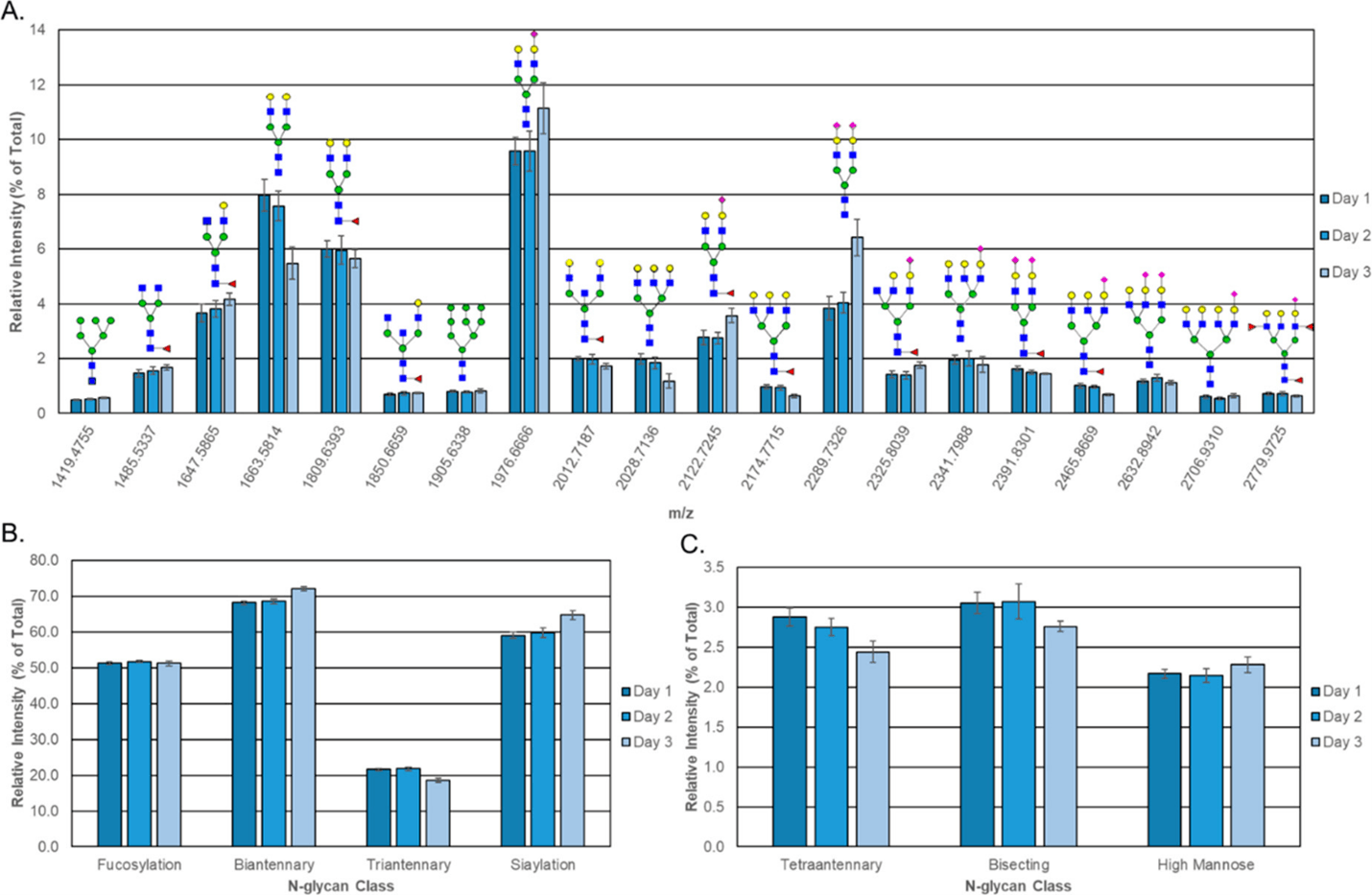
Serum/Plasma N-Glycan Profiling
A novel slide-based N-glycan profiling method was evaluated for sensitivity and reproducibility. Using this method and PNGase F PRIME™, over 75 N-glycan species can be detected from one microliter of serum in less than 6.5 hours, demonstrating the potential applications of this method in clinical diagnostics.


